O Connor S Restaurant Bar Restaurant Bar Restaurant Bar

O Connor S Restaurant Bar Restaurant Bar Restaurant Bar

Ag S Office Probe Into Keene Dentist Closed With No Charges

Ag S Office Probe Into Keene Dentist Closed With No Charges

Meet The Doctor Swanzey Nh Hastings Dental Health

Meet The Doctor Swanzey Nh Hastings Dental Health

Earl D Collins House Needham Mass Historic New England

Earl D Collins House Needham Mass Historic New England

David Oakes House Tenants Harbor Maine Historic New England

David Oakes House Tenants Harbor Maine Historic New England

Missing Cuz Have You Seen Amber Alert Jennifer Miller

Missing Cuz Have You Seen Amber Alert Jennifer Miller

Missing Cuz Have You Seen Amber Alert Jennifer Miller

Bernard Grossman House Nantucket Mass Historic New England

Bernard Grossman House Nantucket Mass Historic New England

John C Braislin House Canton Center Conn Historic New England

John C Braislin House Canton Center Conn Historic New England

Staney Smith House Westford Mass Historic New England

Staney Smith House Westford Mass Historic New England

Mrs F H Mann House Martha S Vineyard Mass Historic New England

Mrs F H Mann House Martha S Vineyard Mass Historic New England

F Burk Ketchum House Cohasset Mass Historic New England

F Burk Ketchum House Cohasset Mass Historic New England

New Hampshire Magazine February 2017 By Mclean Communications Issuu

New Hampshire Magazine February 2017 By Mclean Communications Issuu

Bellingham Bulletin Dec 2019 By Bellingham Bulletin Issuu

Bellingham Bulletin Dec 2019 By Bellingham Bulletin Issuu

The New Uxbridge Times December 2019 By The New Uxbridge Times

The New Uxbridge Times December 2019 By The New Uxbridge Times

Signers Calling For Larouche S Exoneration In The 1990s Larouchepac

Signers Calling For Larouche S Exoneration In The 1990s Larouchepac

Doctors Of Naturopathy Homeopathy Ayurveda Or Medical Qigong

Doctors Of Naturopathy Homeopathy Ayurveda Or Medical Qigong

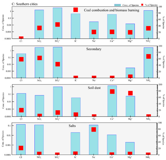
Atmosphere Free Full Text Spatial Distributions And Sources Of

Atmosphere Free Full Text Spatial Distributions And Sources Of

List Of Those Owed Money By The State Of Tennessee

List Of Those Owed Money By The State Of Tennessee

Elevated Janitorial At Dallas In Tx

Elevated Janitorial At Dallas In Tx

Dreyer S Dki At Gainesville In Fl

Dreyer S Dki At Gainesville In Fl

Source : pinterest.com